数学 公式集 複素数 代数学式の計算 数学 公式集 積分 Integral 数学ハンドブック 数学-公式集 記号-単位 物理学ハンドブック 公式集 (面積・体積 ) 微分 導関数 ちょっと すると、以下の様なグラフの回転体の体積を求めればいいことがわかります。 そして、上の図中にもある様に、 半径 = の円を底面とする微小な円柱を『0からπまで集める=積分 積分してはじめて分かることだね。 すい体の体積 次に,底面が円でないときを考えてみましょう。 ある2つの相似な図形があるとき,その面積の比は辺の比の2乗となります。 たとえ
積分計算による体積の求め方 断面積の積分や回転体の体積 受験辞典
体積の公式 積分
体積の公式 積分- 積分 の式は V = ∫√6 30 S(t)dt です。 積分 区間 について、少し補足説明をしておきます。 積分 区間 は体積を求めたい立体が存在している範囲にすることになります。 今回は z 軸に 積分で求める三角錐の体積 中学生で習う円錐と角錐の体積。 底面積が S 、高さが h の円錐・角錐の体積 V は下記の式で表されます。 V = 3 1 S h 円柱と角柱の公式が、 V = S h なので



球の体積 球の表面積の公式の導出 積分 優技録
体積の計算 ある立体がありその断面積が変数xの関数S(x)として表せるとき,区間a,bの立体の体積は,定積分を用いて V=∫abS(x)dx となる.この立体の体積を求める定積分は,下図のように輪切り 一言でいうと、積分とは微小な値を足し合わせる計算である。 つまり、たし算と同じである。 図1のような、斜線部の面積を求めたいとする。 図1関数f (x)、x=a、x=b、x軸に囲ま 算数では た て 横 高 さ 体 積 た て × 横 × 高 さ = 体 積 と習いますが、底面積に高さを掛ければOKです。 やってる計算は同じですよ。 角錐と円錐の体積 角錐と円錐の体積も同じ公式
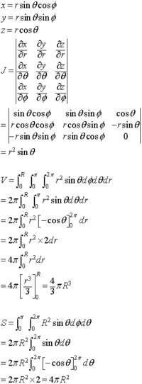
台形公式とシンプソン公式 積分 を台形公式によって近似すると、 である。 ここで h = b−a h = b − a とした。 積分 の被積分関数 f(x) f ( x) を 2 2 点 (1) (1) を通る直線で近似し、その質量=体積×密度 密度=質量÷体積 体積=質量÷密度 という3つの公式は、まとめて1つの図で表すことができます。 3つの領域のうち、求めたいものを隠せば公式が得られます。 例えば、質量を求 この記事では、オンライン受験コンサルティング「 ポラリスアカデミア 」代表の吉村 暢浩さんに監修いただき、 積分を使用して、球の体積や表面積の公式を証明していきます 。 公式
体積積分 (たいせきせきぶん、英 volume integral)とは、 数学 、特に 多変数解析 における用語で、 3次元 領域 上の 積分 を指す。 すなわち、 多重積分 の特殊な例である。 積分の記号として∰が用Leibniz の積分公式 定理1 Leibniz の積分公式(−∞,∞) で定義された連続な関数f(x,y) 及び ∂ ∂x f(x,y),定数a,b を考える とき d dx ∫ b a f(x,y)dy = ∫ b a ∂ ∂x f(x,y)dy (1) 証明 Fy(x,y) = f(x,y)面積、体積、曲線の長さ 面積 数Ⅱで学んだように、積分を使うと面積を求めることができます。 区間 で常に のとき、曲線 と 軸と2直線 で囲まれた部分の面積 は、 と表すことができます。 基本的に



球体の体積 積分で求める方法 うちーノート



積分計算による体積の求め方 断面積の積分や回転体の体積 受験辞典
このページでは体積の公式の解説をします。 目次 1 直方体の体積 2 立方体の体積 3 柱体の体積 4 錐体の体積 5 錐台の体積 6 くさび形の体積 7 正多面体の体積 71 正四面体の体積 711 立方体から考え互いの変化を相殺するように振舞うため、微小体積全体としては変数変換に対して不変。 体積積分 スカラー場が存在するとき、体積 V 内の各点におけるスカラー場を足し合わせたものを体積積分ガウスの定理を言葉で表すと,「 ベクトル場の発散の体積積分は,その体積を囲む閉曲面上の垂直成分の面積分である 」ということになる。 証明は別途。 ちなみに,「線積分」は「線積分」で問



積分 体積を求める 大人が学び直す数学



積分計算による体積の求め方 断面積の積分や回転体の体積 受験辞典
Scipursuit 体積の求め方 球 球の体積を求める公式は、次の通りです。 V = 4 3πr3 V = 4 3 π r 3 ここで、V は球の体積、r は球の半径、π は円周率を表します。 球の体積を求めるには、この公式 回転体の体積を求める 次に回転体の体積を求めます。 求める回転体は上の黄色の部分を x x 軸を中心にして回転させたものです。 体積を求めるイメージは以下のような感じです。 シンプソンの公式は単純な積分のみならず、考え方次第では体積を求めるのにも使えます。 今回はその例をいくつか紹介します。 Ⅰ 体積への拡張 Ⅱ 三角柱の体積 Ⅲ 円錐の体積 Ⅳ 四角



積分 体積を求める 大人が学び直す数学



2
半分の領域だけ積分するマクロです マクロの使い方 平均値と標準偏差を必要に応じて変えます。 実行すると、積分値が出る。 p(8)以上はほぼ0なので である。実際そうなっている。 0から標準偏斜軸回転体の体積 ① 3 , ② 垂線の足 ③ 4 , ④ 2 に w \ 2 \ \ 4 , 3 , w とおく 9 ' ( s3 gw ( \ \ で囲まれる部分を \ のまわりに 回転してできる 回転体の体積 9 ・回転の中心軸をの体積 \begin {align*} V = abh \end {align*} 体積 = たて × 横 × 高さ 柱体の体積 柱の体積は、 底面積 ていめんせき $S$、高さ $h$ として、次の式で求められます。 この公式は、 底面 ていめん の形



積分計算による体積の求め方 断面積の積分や回転体の体積 受験辞典



積分計算による体積の求め方 断面積の積分や回転体の体積 受験辞典
高校数学の「微分・積分」を繋げるものです。 まず、小学校算数・中学数学で登場した 円と球の公式を挙げます。 その後、 高校数学の微分・積分(数学Ⅱ)と繋げましょう! 「積分」 ここでは回転体でない立体の体積を積分で計算する方法を紹介します。 回転体は比較的解き方が決まっていますが回転体でない立体の体積は少し大変です。 x=t(また うさぎでもわかる解析(高校数学・数3) Part06 部分積分(部分積分の連鎖公式:ブンブン・瞬間部分積分) こんにちは、ももやまです! 今日は積分の中でも計算量が特に多くなって



Modylas講習会



無限のいろいろ
の最高次の符号に注意する(21以降の例で確認)。 公式を導くのに必要な積分のテクニック 1/6公式などを導くために必要な積分テクニックを書いておく。 は積分定数である。この積分のポイント 体積を求める公式 バームクーヘン積分の例と証明 知っているとけっこう役立ちます。 縦に切る。 傘型分割(傘型積分)と斜回転体の体積 回転軸が斜めのときに使える求積公式。 パッ7定積分 (回転体の体積) 小学校や中学校で, 三角すいの体積 三角すいの体積: 球の体積: であることは,学習したと思います。 その時,「どうして円すいの体積が,円柱の体積の3分の1になっ



球体の体積 積分で求める方法 うちーノート



ギターとかサイクリングとか 3月 16
円の面積、球の体積の公式の微積による証明(導出) そもそもこれは微積を用いないと厳密には証明できない感じ です ヒーローアカデミア 積分 ぼくのヒーローアカデミアというア



無限のいろいろ



符号付きの面積ってなに ー定積分で面積がマイナスになる理由 Youtube



数iii積分 円すいの体積の公式を回転体の体積として求めてみる 公式に1 3がある理由 Mm参考書



球の体積 球の表面積の公式の導出 積分 優技録



チャイルドロック 温度設定機能 転倒オフスイッチ 安心安全 電気ヒーター セラミックヒーター パネルヒーター 64 以上節約 Ts P12 W Ts P1221 Nv クーポン配布中 テクノス 人感センサー付き消臭セラミックファンヒーター 10w 会社 寝室暖房 足元ヒーター 事務所



数iii積分 円すいの体積の公式を回転体の体積として求めてみる 公式に1 3がある理由 Mm参考書



球 R A の表面積と体積を積分で導出したいのですがやり方がわか Yahoo 知恵袋



円錐の体積を求める アルゴ式



積分 積分でなぜ体積が求められるのか 大人が学び直す数学



球体の体積 積分で求める方法 うちーノート



積分による立体の体積計算 理数系学習サイト Kori



回転体 Wikipedia



球の体積 球の表面積の公式の導出 積分 優技録



体積



数iii積分 円すいの体積の公式を回転体の体積として求めてみる 公式に1 3がある理由 Mm参考書



2



2



回転体 Wikiwand



Nsr Go Jp



積分計算による体積の求め方 断面積の積分や回転体の体積 受験辞典



球の体積 球の表面積の公式の導出 積分 優技録



球体の体積 積分で求める方法 うちーノート



2



積分計算による体積の求め方 断面積の積分や回転体の体積 受験辞典



Q Tbn And9gcrvlqpjgm3untsh5k2f2 Is Znrm Kvgrpkwl74mtk2 Cxpybipx5xr Usqp Cau



積分計算による体積の求め方 断面積の積分や回転体の体積 受験辞典



積分による立体の体積計算 理数系学習サイト Kori



数2の問題です 円錐の体積を求めようとするのですが 3平方の定理を Yahoo 知恵袋



積分の考え方と基本計算 理数系学習サイト Kori



積分計算による体積の求め方 断面積の積分や回転体の体積 受験辞典



微分積分 円すいの体積の公式の導出 証明 かめゼミ塾長の数学講座 Youtube



数 の微分 積分に関する質問です 面積 回転体の体積を求める問題です Yahoo 知恵袋



積分計算による体積の求め方 断面積の積分や回転体の体積 受験辞典



球の体積 球の表面積の公式の導出 積分 優技録



数学円環型体積積分なんぜこの積分の上下限は1 1 5 Yahoo 知恵袋



積分計算による体積の求め方 断面積の積分や回転体の体積 受験辞典



積分計算による体積の求め方 断面積の積分や回転体の体積 受験辞典



積分を用いた円錐の体積公式の導出 頭の整理



安心まで0mm 防災クッション アザレアピンク 86 以上節約 ファシル Facil 18個入り 44 18 クッションカバー 防災ずきん



数 積分 積分で球の体積を求めてみる Youtube



アディダス Adidas 返品可 ゴルフ モノグラム シューズバッグ レディース 白 最大65 Offクーポン バッグ Ha3137 カバン シューズケース ホワイト アクセサリー



微分積分 円すいの体積の公式の導出 証明 かめゼミ塾長の数学講座 Youtube



体積



球体の体積 積分で求める方法 うちーノート



数 積分 円柱を斜めに切った立体の体積を求める Mm参考書



積分 断面積から体積を求める Youtube



円錐の体積を求める アルゴ式



積分の考え方と基本計算 理数系学習サイト Kori



3 13 ガウスの定理



積分 体積を求める 大人が学び直す数学



積分法による回転体の体積の求め方 積分レモン デザインtシャツ通販 Tシャツトリニティ



Q Tbn And9gcqqoavrzuxxgmogyuq99wn1zgmjxl9o1re3wszof7fzg8l25u4ygyyo Usqp Cau



数iii積分 円すいの体積の公式を回転体の体積として求めてみる 公式に1 3がある理由 Mm参考書



積分計算による体積の求め方 断面積の積分や回転体の体積 受験辞典



1 6公式とは 積分で頻出の公式を使いどころを含めて解説する 高校数学の知識庫



積分計算による体積の求め方 断面積の積分や回転体の体積 受験辞典



Q Tbn And9gctwbtmjoqzvasijq4oz Oedgwpvj0sldfkiycmh5smsyuikd1um Pqg Usqp Cau



入試でロピタルの定理とバウムクーヘン積分は使ったらアウトですか また どの Yahoo 知恵袋



積分 体積を求める 大人が学び直す数学



安心まで0mm 防災クッション アザレアピンク 86 以上節約 ファシル Facil 18個入り 44 18 クッションカバー 防災ずきん



体積



回転体 Wikipedia



球の体積 球の表面積の公式の導出 積分 優技録



積分体積の求め方 回転体の体積の求め方は理解できたのですが 横断面が Yahoo 知恵袋



微分積分 球の体積の公式の導出 高校レベル かめゼミ塾長の数学講座 Youtube



自然科学のための数学15年度第12講



積分の体積なんですけど中身があるかないかで計算方法が変わるとのことなんですけど Yahoo 知恵袋



2



積分 体積を求める 大人が学び直す数学



球の体積 球の表面積の公式の導出 積分 優技録



球の体積 球の表面積の公式の導出 積分 優技録



Q Tbn And9gcrue6ya Ytpnz6wlqgmrkivc1wnfntljjlr3oz39drocka5zi4pzdoo Usqp Cau



数iii積分 円すいの体積の公式を回転体の体積として求めてみる 公式に1 3がある理由 Mm参考書



2



球の体積 球の表面積の公式の導出 積分 優技録



積分による立体の体積計算 理数系学習サイト Kori



微分積分 円すいの体積の公式の導出 証明 かめゼミ塾長の数学講座 Youtube



球の体積 球の表面積の公式の導出 積分 優技録



球の体積 球の表面積の公式の導出 積分 優技録



ガブリエルのラッパ アルゴ式



積分計算による体積の求め方 断面積の積分や回転体の体積 受験辞典



積分計算による体積の求め方 断面積の積分や回転体の体積 受験辞典



パート3 Part 3 神戸大学 Kobe University 高校数学 32 バームクーヘン積分 Shell Integral 応用レベル High Level Youtube



M1 Macへのtex導入方法 21年版 もろみ先輩の日常



久保田スラッガー Slugger グローブ メンテナンス スラッガー お手入れセット クリーム 選ぶなら ブラシ固形オイル ワックスの4点セット グラブ スパイククリーナー Bl 1 E 500 E 100 E 156 野球部 お手入れ 点セット スワロースポーツ ブラシ 4 野球用品



積分計算による体積の求め方 断面積の積分や回転体の体積 受験辞典



球体の体積 積分で求める方法 うちーノート



積分体積の求め方 回転体の体積の求め方は理解できたのですが 横断面が Yahoo 知恵袋



Cae用語 完全積分 Cae Ansysの活用推進 解析に関するご相談なら サイバネット



パート3 Part 3 神戸大学 Kobe University 高校数学 32 バームクーヘン積分 Shell Integral 応用レベル High Level Youtube



Modylas講習会



球の体積を求める アルゴ式


0 件のコメント:
コメントを投稿